利用传递函数模块建模:
对方程:

两边取拉普拉斯变换,得:

经整理得传递函数:

在Baltamulink中构建求解微分方程的模型并仿真,根据系统传递函数构建如下图所示的仿真模型:

模型中各个模块说明如下。
(1) u(t) 模块:设置阶跃时间为 0。
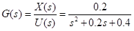
(2) transferFunc 模块:分子多项式系数 [0.2];分母多项式的系数 [1,0.2,0.4]。
仿真时长:20s;步长0.01s;求解器:ode4
得到的仿真结果,如下图所示:

利用状态方程模块建模:
若令:
,那么微分方程:
可写成:

写成状态方程为:

式中,
在Baltamulink中构建求解微分方程的模型并仿真,根据系统状态方程构建如下图所示的仿真模型:

模型中各个模块说明如下。
(1) u(t) 模块:设置阶跃时间为 0。
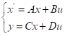
(2) stateSpace模块:A、B、C、D 系数依次为 [0,1;-0.4,-0.2]、[0;0.2]、[1,0] 和 0。
仿真时长:20s;步长0.01s;求解器:ode4
得到的仿真结果,如下图所示:

串联超前校正是在系统中串联一个校正环节
形成闭环系统。当
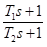
时为串联超前校正。T1和T2的值是根据控制指标及被控系统的相位裕度得出的。
已知被控对象开环传递函数为
,使用超前校正环节
进行仿真,比较校正前后系统的动态特性参数。
在Baltamulink中构建如下图所示的仿真模型:

设置仿真参数:
阶跃信号模块:阶跃时间为1;
Sum模块:符号为 +-
仿真时长:7;步长0.01s;求解器:ode4
得到的仿真结果,如下图所示:

蓝色为校正前;红色为校正后。
从仿真结果中可以看出,校正前系统超调量达到80%,在稳态误差为2%的情况下,稳态时间为4.9秒左右;校正后系统超调量为27%,稳态时间为0.1s。
由此可以看出,在系统出现超调前完成了校正,校正速度较快,稳态时间减少为1/50,超调量明显降低。
已知完全可控开环系统状态方程
,
其中:A = [-6 -5 -2;1 0 0;0 1 0],B = [1; 0; 0],C = [0 0 1],D = 0
增益矩阵K = [8 43 78];增益L = 80。
在Baltamulink中构建如下图所示的仿真模型:

设置仿真参数:
阶跃信号模块:阶跃时间为0;
Sum1模块:符号为 ++++
Sum2模块:符号为 +-
Sum3模块:符号为 ++++
Sum4模块:符号为 +++
Gain1模块 = 80
Gain2模块 = -6
Gain3模块 = -5
Gain4模块 = -2
Gain5模块 = -6
Gain6模块 = -5
Gain7模块 = -2
Gain8模块 = 8
Gain9模块 = 43
Gain10模块 = 78
仿真时长:12;步长0.01s;求解器:ode4
得到的仿真结果,如下图所示:

蓝色为原闭环系统的阶跃响应曲线;
红色为状态反馈控制后的阶跃响应曲线。